“Straight-Line-Graph-Through-The-Origin”
The words of Mr Michael Twomey, physics teacher, in Coláiste an Spioraid Naoimh, I can still hear them.
There were two main reasons to produce this straight-line-graph-through-the-origin:
- to measure some quantity (e.g. acceleration due to gravity, speed of sound, etc.)
- to demonstrate some law of nature (e.g. Newton’s Second Law, Ohm’s Law, etc.)
We were correct to draw this straight-line-graph-through-the origin for measurement, but not always, perhaps, in my opinion, for the demonstration of laws of nature.
The purpose of this piece is to explore this in detail.
Direct Proportion
Two variables and
are in direct proportion when there is some (real number) constant
such that
.
In this case we say is directly proportional to
, written
, and we call
the constant of proportionality. If we assume for the moment that both
and
can be equal to zero, then when
, then
is certainly also equal to zero:
.
Now imagine a plane, with values on the
-axis, and
-values on the
-axis, and the values of
plotted against those of
. We certainly have that
(aka the origin) is on this graph. Now suppose that
is another such point.

The tangent of this angle , opposite divided by adjacent is given by:
,
however by assumption, so that:
.
Similarly, any other point , has
. This means the line segment connecting
to any point on the graph, any
, makes an angle
with the
-axis: they all lie on a straight-line, and as we noted above, through-the-origin:

Consider again the graph with the right-angled triangle. The slope of a line is defined as the rise-over-the-run: aka the tangent of the angle formed with the -axis. Therefore, we have that the slope of this line is given by
, the constant of proportionality.
Measurement using the Straight-Line-Graph-Through-The-Origin
If we have two quantities that are in direction proportion… we need an example:
Example: Refractive Index
When a light travels from a vacuum into a medium, it bends:

[image robbed from Geometrics.com and edited]
It turns out, using Maxwell’s Equations of Electromagnetism, that and
are directly proportional:
.
This constant of proportionality, , more usually denoted by
, is called the Refractive Index of the material.
For the moment, make the totally unrealistic assumption that we can measure and
, and calculate
and
, without error. Then we can hit the medium with light, calculate the specific
and
, and calculate the refractive index:
.
This, however, is completely unrealistic. We cannot measure without error (nor calculate without error).
Recall again that , a graph of
vs
is a straight-line-graph-through-the-origin:

This line represents the true, exact relationship between and
– and if we had it’s equation:
, we would know the refractive index. Let us call this the line of true behaviour.
In the real world, any measurement of and
, and subsequent calculation of
and
, comes with an error.
For example, suppose, for a number of values of , say
, we measure and record the corresponding
, say
. Suppose we calculate the corresponding sines and then plot the coordinates:
:

Now these errors in measurement and calculation mean that these points do not lie on a line. Teaching MATH6000 here in CIT, would see some students wanting to draw a line between the first and last data points:

We can get the equation of this line, it’s not too difficult, and the slope of this line approximates the refractive index (we get )… but why did we bother with making seven measurements when we only used two to draw the line?
When we do this we are completely neglecting the following principle:
Data is only correct on average. Individual data points are always wrong.
The second statement should be self-evident: individual data points contain errors and are certainly wrong. When we are not dealing with discrete data, but continuous data this statement always wrong can be quantified (in the sense of almost always).
The first statement is a little more difficult, on relies the Law of Large Numbers, but for the purposes of this piece, just suppose that the errors are just as likely to be positive (under-estimate) as negative (over-estimate), then we might hope that errors cancel each other out — and we might expect furthermore that the more data we have, the more likely that these errors do indeed cancel each other out — and the data correct on average.
So using just two data points is not a good idea: we should try and use all seven. You can at this point come up with various strategies of how to draw this line, this line of best fit. Maybe you want to get just as many points above the line as below for example.
Recall individual data points always contain errors. So for example, we try and measure , we try and measure the corresponding
– these have measurement errors. Then we calculate
and
and these errors are propogated into errors here.
It turns out, if we make assumptions about these errors (for the purposes of this talk errors are just as likely to be positive as negative), that if we have many, many data points, they scatter around the true relationship between and
, categorised by the line in the below, in a very certain way:

The errors have the property, that the sum of the vertical deviations – squared – is as small as possible. We explain with a picture what vertical deviation means:

The vertical deviations, briefly just the deviations, are as shown.
Now we flip this on it’s head. If we have some data we know that the line of true behaviour is such that if we had lots of data the sum of the squared deviations would be as small as possible.
Therefore, if we find the line that has the property that the sum of squared deviations for our smaller sample of data is a minimum, then this, line of best fit, approximates the line of true behaviour.
line of best fit line of true behaviour
The more data we have (subject to various assumptions), the better this approximation.
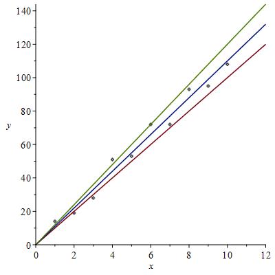
Now how do we find this line of best fit? An example shows the way:

The quest is to find the line such that the sum of the squared deviations is as small as possible. As we note above, if then the line of best fit is of the form
for some constant
: and different values of
give different errors. For example, below we see graphs with
together with the data:

How we find this line of best fit is to consider as a variable, find a formula for
= sum of squared deviations =
,
and then minimise the value of — in other words finding the line that minimises
. Here we calculate for an arbitrary line — value of
— the ten deviations. The deviation between the data point
and the corresponding point on the line of best fit,
, is given by the absolute difference of the two:
.

Now note that , and so
.
A little time later we have, in this case,
.
How to minimise this? If you know any calculus this is an easy problem, however a rudimentary knowledge of quadratics is enough to help us find the minimum. All quadratics can be written in the form:
.
This is minimised when . Therefore,
is minimised at
I wouldn’t ordinarily be an advocate for rounding fractions like this, however the important approximation
line of best fit line of true behaviour
means that we cannot be so prescriptive. We finish here with
.
More generally, where we have data and we want to find the line (through the origin) of best fit we have (via
)
so that as before, the quadratic is at a minimum at
.
Verifying Laws
Maxwell’s Equations imply Snell’s Law but Snell’s Law was proposed almost 1000 years before Maxwell!
Suppose you hear about Snell’s Law for the first time. How could someone convince you of it (without running the gamut on Maxwell’s Equations!)
Well, they’d have to do an experiment of course! They would have to allow you measure different values of and
, the corresponding values of
and
, and plot them. For it to be through-the-origin they would have to convince you that
.
Then you would find the line of best fit: straight-line-graph-through-the-origin.
You would see the data lining up well, providing qualitative evidence for and hence Snell’s Law.
Then they might show you how to calculate how well the data fits the line of best fit, perhaps by calculating the correlation coefficient.
Beyond
Things get slightly more complicated if we have a straight-line-graph that doesn’t go through the origin. Or a different curve than that of a line. We are however able to to fit data to a family of curves, curves that minimise the sum of the squared deviations. This is Linear Least Squares where partial differentiation can help find the curve-of-best-fit that approximates the curve-of-true-behaviour.
Things get more and more complicated after this but we can leave it there now.

Leave a comment
Comments feed for this article