You are currently browsing the category archive for the ‘Grinds’ category.
The videos, here, comprise me going through a full Leaving Cert Higher Level Mathematics Paper, namely 2019, Paper 1.
They’re neither slick, perfect, nor as good as I would like them to be.
The videos are labelled in the descriptions, so if you are looking for, say, Q. 5 you can flick through the videos until you find the question you are looking for (e.g. Q. 5 starts at 17.05 here).
All students are looking for help: but perhaps the student that these videos are best placed to help is a student (eventually) going for a H1 who needs something to be explained in more depth, or to give the thought process behind attacking a more challenging problem.
When I say difficult, I mean difficult in comparison to the usual standard of Higher Level Leaving Cert Applied Maths Connected Particles Questions
Question (a)
Consider the following:

A rectangular block moves across a stationary horizontal surface with acceleration (the question had
m/s
but the m/s
is repeated as
m/s
and so includes the unit).
There is a serious problem with this question and that is that the asymmetry in the problem means that there is an ambiguity: is the block moving left to right or right to left? I am going to assume the block moves from left to right. One would hope not to see such ambiguity in an official exam paper.
Two particles of mass placed on the block, are connected by a taut inextensible string. A second string passes over a light, smooth, fixed pulley to a third particle of mass
which presses against the block as shown in the diagram.
(i)
If contact between the particles and the block is smooth, find the magnitude and direction of the resultant forces acting on the particles.
Solution
Note firstly that there are two accelerations at play. The acceleration of the block relative to the horizontal surface, , and the accelerations of the particles relative to the block, say
:

We draw all the forces (I lazily didn’t add arrows to the force vectors):

We know that the normal forces for the particles on top of the block because their vertical acceleration is zero and so the sum of the forces in that direction must be zero, and as the down forces are equal for both, necessarily the up forces must be equal too.
The purpose of this post is to briefly discuss parallelism and perpendicularity of lines in both a geometric and algebraic setting.
Lines
What is a line? In Euclidean Geometry we usually don’t define a line and instead call it a primitive object (the properties of lines are then determined by the axioms which refer to them). If instead points and line segments – defined by pairs of points –
are taken as the primitive objects, the following might define lines:
Geometric Definition Candidate
A line,
, is a set of points with the property that for each pair of points in the line,
,
.
In terms of a picture this just says that when you have a line, that if you take two points in the line (the language in comes from set theory), that the line segment is a subset of the line:

Exercise:
Why is this objectively not a good definition of a line.
Once we move into Cartesian\Coordinate Geometry we can perhaps do a similar trick. We can use line segments, and their lengths to define slope, (slope = rise over run) and then define a line as follows:
Algebraic Definition Candidate
A line,
, is a set of points such that for all pairs of distinct points
, the slope is a constant.
This means that if you take two pairs of distinct points in a line , and then calculate the slopes between them, you get the same answer, and therefore it makes sense to talk about the slope of a line,
.

This definition, however, has exactly the same problem as the previous. The definition we use isn’t too important but I do want to use a definition that considers the line a set of points.
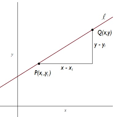
The Equation of a Line
We can use such a definition to derive the equation of a line ‘formula’ for a line of slope containing a point
.
Suppose first of all that we have an axis and a point
in the line. What does it take for a second point
to be in the line?

Occasionally, it might be useful to do as the title here suggests.
Two examples that spring to mind include:
- solving
for
(relative velocity example with
below)
- maximising
without the use of calculus
Note first of all the similarity between:
.
This identity is in the Department of Education formula booklet.
The only problem is that and
are not necessarily sines and cosines respectively. Consider them, however, as opposites and adjacents to an angle in a right-angled-triangle as shown:

Using Pythagoras Theorem, the hypotenuse is and so if we multiply our expression by
then we have something:
.
Similarly, we have
,
where .
Consider the following problem:
Two masses of 5 kg and 1 kg hang from a smooth pulley at the ends of a light inextensible string. The system is released from rest. After 2 seconds, the 5 kg mass hits a horizontal table:
i. How much further will the 1 kg mass rise?
ii. The 1 kg mass then falls and the 5 kg mass is jolted off the table. With what speed will the 5 kg mass begin to rise?
[6D Q. 4. Fundamental Applied Maths, 2nd Edition, Oliver Murphy]
It isn’t difficult to answer part i.: the answer is m.
However how to treat part ii.? First of all a picture to help us understand this problem:

The 1 kg mass has dropped under gravity through a distance of m. We can find the speed of the 1 kg mass using
. Alternatively, we can use Conservation of (Mechanical) Energy.
Taking the final position as , at its maximum height, the 1 kg mass has potential energy and no kinetic energy:
.
When it reaches the point where the string is once again taut, it has not potential energy but the potential energy it had has been transferred into kinetic energy:
,
and this must equal the potential energy :
.
Now this is where things get trickier. My idea was to use conservation of momentum on the two particles separately. As this clever answer to this question shows, you can treat the 5 kg mass, string, and 1 kg mass as a single particle.
So the prior momentum is the mass of the 1 kg mass by :
.
The ‘after’ momentum is the mass of the 1 kg and 5 kg masses times the new velocity:
.
By Conservation of Momentum, these are equal:
.
This post follows on from this post where the following principle was presented:
Fundamental Principle of Solving ‘Easy’ Equations
Identify what is difficult or troublesome about the equation and get rid of it. As long as you do the same thing to both numbers (the “Lhs” and the “Rhs”), the equation will be replaced by a simpler equation with the same solution.
There are a number of subtleties here: basically sometimes you get extra ‘solutions’ (that are not solutions at all), and sometimes you can lose solutions.
Let us write the squaring function, e.g. ,
by
and the square-rooting function by
. It appears that
are an inverse pair but not quite exactly. While
and
,
check out O.K. note that
,
does not bring us back to where we started.
This problem can be fixed by restricting the allowable inputs to to positive numbers only but for the moment it is better to just treat this as a subtlety, namely while
,
… in fact I recommend that we remember that with an
there will generally be two solutions.
The other thing we look out for as much as possible is that we cannot divide by zero.
There are other issues around such as the fact that , so that the equation
has no solutions (no,
is not a solution! Check.). This equation has no solutions.
Often, in context, these subtleties are not problematic. For example, equations with no solutions rarely arise and quantities might be positive so that if we have , only
need be considered (for example,
might be a length).
Introduction
To successfully analyse and solve the equations of Leaving Cert Applied Maths projectiles, one must be very comfortable with trigonometry.
Projectile trigonometry all takes place in so we should be able to work exclusively in right-angled-triangles (RATs), however I might revert to the unit circle for proofs (without using the unit circle, the definitions for zero and
are found by using continuity).
Recalling that two triangles are similar if they have the same angles, the fundamental principle governing trigonometry might be put something like this:
Similar triangles differ only by a scale factor.
We show this below, but what this means is that the ratio of corresponding sides of similar triangles are the same, and if one of the angles is a right-angle, it means that if you have an angle, say , and calculate the ratio of, say, the length of the opposite to the length of the hypotenuse, that your answer doesn’t depend on how large your triangle is and so it makes sense to talk about this ratio for
rather than just a specific triangle:

These are two similar triangles. The opposite/hypotenuse ratio is the same in both cases.
Suppose the dashed triangle is a -scaled version of the smaller triangle. Then
and
. Thus the opposite to hypotenuse ratio for the larger triangle is
,
which is the same as the corresponding ratio for the smaller triangle.
This allows us to define some special ratios, the so-called trigonometric ratios. If you are studying Leaving Cert Applied Maths you know what these are. You should also be aware of the inverse trigonometric functions. Also you should be able to, given the hypotenuse and angle, find comfortably the other two sides. We should also know that sine is maximised at , where it is equal to one.
In projectiles we use another trigonometric ratio:
.
Note , so that
is not defined. Why? Answer here.
The Pythagoras Identity
For any angle
,
.
Quadratics are ubiquitous in mathematics. For the purposes of this piece a quadratic is a real-valued function of the form
,
where such that
. There is a little bit more to be said — particularly about the differences between a quadratic and a quadratic function but for those this piece is addressed to (third level: non-maths; all second level), the distinction is unimportant.
Geometry
The basic object we study is the square function, ,
:

All quadratics look similar to . If
then the quadratic has this
geometry. Otherwise it looks like
and has
geometry
The geometry dictates that quadratics can have either zero, one or two real roots. A root of a function is an input such that
. As the graph of a function is of the form
, roots are such that
, that is where the graph cuts the
-axis. With the geometry of quadratics they can cut the
-axis no times, once (like
), or twice.
There are a number of ways of explaining why you cannot divide by zero. Here are my two favourites.
Any Set of Numbers Collapses to a Single Number
How old are you? Zero years old.
How tall are you? Zero metres old.
How many teeth do you have? Zero.
How many Superbowls has Tom Brady won? Zero
Yep, if you allow division by zero you only end up with one number to measure everything with.
As I said in the previous post, there is a duality:
Points on a Curve (Geometry) Solutions of an Equation (Algebra)
This means we can answer geometric questions using algebra and answer algebraic questions using geometry.
Problem
Consider the following two questions:
- Find the tangents to a circle
of a given slope.
- Find the tangents to a circle
through a given point.
Both can be answered using the duality principle.
Example
Find the tangents to the circle
that are
(a) parallel to the line
(b) through the point
[caution: the numbers here are disgusting]
Solution (a) i:
First of all a sketch (and the remark that a tangent is a line):

Here we see the circle and the line
on the bottom left. The two tangents we are looking for are as shown. They have the same slope as
and have only one intersection with
. These two pieces of information will allow us to find the equations of the tangents.

Recent Comments