Warning: This is written by a non-expert (I know only about finite quantum groups and am beginning to learn my compact quantum groups), and there is no attempt at rigour, or even consistency. Actually the post shows a wanton disregard for reason, and attempts to understand the incomprehensible and intuit the non-intuitive. Speculation would be too weak an adjective.
Groups
A group is a well-established object in the study of mathematics, and for the purposes of this post we can think of a group as the set of symmetries on some kind of space, given by a set
together with some additional structure
. The elements of
act on
as bijections:
,
such that , that is the structure of the space is invariant under
.
For example, consider the space , where the set is
, and the structure is the cardinality. Then the set of all of the bijections
is a group called
.
A set of symmetries , a group, comes with some structure of its own. The identity map
,
is a symmetry. By transitivity, symmetries
can be composed to form a new symmetry
. Finally, as bijections, symmetries have inverses
,
.
Note that:
.
A group can carry additional structure, for example, compact groups carry a topology in which the composition and inverse
are continuous.
Algebra of Functions
Given a group together with its structure, one can define an algebra
of complex valued functions on
, such that the multiplication
is given by a commutative pointwise multiplication, for
:
.
Depending on the class of group (e.g. finite, matrix, compact, locally compact, etc.), there may be various choices and considerations for what algebra of functions to consider, but on the whole it is nice if given an algebra of functions we can reconstruct
.
Usually the following transpose maps will be considered in the structure of , for some tensor product
such that
, and
,
is the group multiplication:
See Section 2.2 to learn more about these maps and the relations between them for the case of the complex valued functions on finite groups.
Quantum Groups
Quantum groups, famously, do not have a single definition in the same way that groups do. All definitions I know about include a coassociative (see Section 2.2) comultiplication for some tensor product
(or perhaps only into a multiplier algebra
), but in general that structure alone can only give a quantum semigroup.
Here is a non-working (quickly broken?), meta-definition, inspired in the usual way by the famous Gelfand Theorem:
A quantum group
is given by an algebra of functions
satisfying a set of axioms
such that:
- whenever
is noncommutative,
is a virtual object,
- every commutative algebra of functions satisfying
is an algebra of functions on a set-of-points group, and
- whenever commutative algebras of functions
,
as set-of-points groups.
A set-of-points group is a just a group, and as we said above, no matter what class of complex valued functions we take, is going to be commutative when the multiplication is pointwise.
A virtual object in contrast does not exist as a set, but is given merely via its -satisfying algebra of functions
. It can not be a set of points, else the multiplication would be commutative (if the multiplication to be considered pointwise multiplication).
Kac Quantum Groups
Recall for commutative ,
and thus
, so
. Not all algebras of functions on quantum groups have antipodes defined on the entire algebra. For example, the antipode on (an algebra of functions on a) locally compact quantum groups is only densely defined. This is an issue of topology, but even algebraic compact quantum groups, which do not a priori involve topology, have algebras of functions that do not necessarily have an involutive antipode:
.
If a quantum group has an involutive antipode, let us assume on the whole algebra for the purposes of this post, it is called Kac, otherwise it is non-Kac.
As it provides a class with an example of a non-Kac quantum group, we can talk about the algebra of regular functions, , on an algebraic compact quantum group
. The axioms
are, more or less:
- The algebra
is a unital *-algebra,
- and there is a comultiplication, antipode and counit, such that
is a *-homomorphism, and the structure maps satisfy:
, and
- there exists an invariant Haar state
, that is equal to integration against the Haar measure,
,
, whenever
is a set-of-points compact group
Here the group axioms are written in the language of the category (structure maps are morphisms, relations are commutative diagrams), and
is the functor composition of the free functor
before the dual endofunctor.
As an example of choices and considerations, it would be considered a defect of the theory that a Haar state is assumed.
Now, for each there is a famous algebraic compact quantum group called
, and whenever
, the quantum group is non-Kac. For
,
is a virtual object, and intuition is fairly thin on the ground as there is no set of points group.
Properties of the Antipode on an Algebraic Compact Quantum Group
Before we start we must collect some facts about antipodes. In the finite commutative case, the Haar state is just:
,
averaging the function. The commutative compact (think “almost finite”) case is also averaging the function: we will think of the Haar state on a general as averaging the function, and write
for the Haar state.
For the algebra of regular functions,
, on an algebraic compact quantum group
, the antipode
is a unital *-antimorphism. The Haar state is tracial exactly when
.
Dual Finite Groups
A finite quantum group is given by an algebra of functions that has the same axioms as algebraic compact quantum groups except if the algebra is assumed to be a
-algebra, the existence of the Haar state can be derived rather than assumed. Choices and considerations!
As an example, consider the group ring with:
The “pointwise” multiplication is , and is noncommutative as soon as
is nonabelian (if
is abelian say hello to Pontryagin). We can check that
is the algebra of functions on a finite quantum group, which we denote
.
I have learnt that a lot of weird stuff that happens for quantum groups already happens for dual groups (see Perhaps the most surprising…, third paragraph, p.4). Now what doesn’t happen for dual groups, either in the finite case or indeed the various infinite cases, is that they become non-Kac.
However, the purpose of this post is to try and explore this question of intuition, for non-involutive antipodes, by trying to say what it would mean if or
were non-Kac. Of course this is nonsense because both these quantum groups ARE Kac… but we’ve been loose enough up to this point let us keep going.
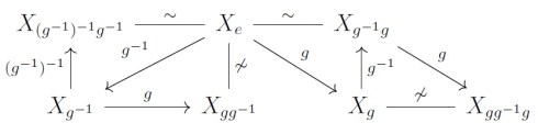
Non-Kac — Path Dependence?
Let be a finite group. Note that:
.
If , then this implies that there exists a symmetry
such that
.
It implies that:
while still there exists and
such that
.
Can we make any sense of this? Not on the levels of set-of-points groups… but let us imagine. I end up with the following. The quantum symmetries in a non-Kac quantum group force upon quantum spaces a path dependence, and thus a direction of time. We must start somewhere, say the quantum space has initial configuration . Act on this space now with a quantum symmetry
, and then
. This cannot bring us precisely back to
, because if it did we could act again with
and then we would have
… instead we must go to a state
that can be identified with
, but it is not exactly the same as
— it has a different path history.

Non-Kac also implies that if we act on with
, we do not get a state that can be identified with
. But we still want inverses and therefore
has an inverse
such that
but
.
Does this has anything at all to do with “God given time?”. Is it a coincidence that we are (possibly) led to this kind of path history as soon as we leave the Kac condition, a condition that guarantees that a certain modular automorphism group is trivial?
Saying that the Haar state is tracial is saying that all functions commute on average:
,
however, even with , I cannot find anything even nonsensical to say from here.
We can however see a link between these for dual groups.
Traciality and Kac for Dual Groups
Consider . The Haar state on
is given by:
.
Note that we have:
.
If were tracial,
and we might conclude that and so
would be Kac. On the other hand, if it were not tracial we might find a witness to
.
Conclusions?
There are no conclusions here. What we can say is as follows:
There are non-Kac algebras that satisfy axioms
such that if a commutative algebra satisfies
, it is the algebra of complex functions on a set of points group
. Woronowicz [Theorem 1.4] shows that the non-Kac algebras have a non-trivial modular automorphism group.
It must go back to choices and considerations. Should a non-Kac algebra be considered an algebra of functions on a quantum group? What do you think?
An expert could tell us about choices and considerations. I don’t think it is possible to understand on a intuitive level what non-Kac says about the symmetries.
A sting in the tail is as follows. The self-adjoint elements of a can be considered quantum mechanical physical observables. Perhaps for all observables
,
?
This might somehow imply that symmetries such that cannot be detected by observables. This is not the case. There is an element
such that, where
:
.
Indeed for
just when
is *-linear… but this happens exactly when
is Kac. Ouch!

Leave a comment
Comments feed for this article